说说6MathType量子算符的输入过程 说说6挑西瓜
相信很多朋友都遇到过以下问题,就是MathType量子算符的输入过程。针对这个问题,今天昊普教程小编就搜集了网上的相关信息,给大家做个MathType量子算符的输入过程的解答。希望看完这个教程之后能够解决大家MathType量子算符的输入过程的相关问题。
WeLink软件大家有入手吧,有时候由于需求要输入量子算符该如何操作呢??下面一起来了解下MathType量子算符的输入过程吧,希望可以帮到大家。
MathType量子算符的输入过程
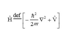
比如哈密顿算符:
详细操作如下:
输入H后,在MathType工具栏中选择修饰模板中的帽子模板。
在矩阵模板中选择2行1列模板。
在矩阵的上部选择底线与顶线模板中的双底线模板。
选择括号模板中的括号或方括号模板,依次输入,再选择分式模板中的标准分式尺寸输入分式,分子选择杂项符号模板中的普朗克常量,输入后选择下标和上标模板中的上标模板输入平方。
选择杂项符号中的nabla算符输入,再依次输入,V的输入可依照H的输入方法。
各位伙伴,学完本文MathType量子算符的输入过程后,是不是觉得以后操作起来会更容易一点呢?
