说说6MathType编辑偏导数的操作方法 说说6压枪
相信很多朋友都遇到过以下问题,就是MathType编辑偏导数的操作方法。针对这个问题,今天昊普教程小编就搜集了网上的相关信息,给大家做个MathType编辑偏导数的操作方法的解答。希望看完这个教程之后能够解决大家MathType编辑偏导数的操作方法的相关问题。
今天小编讲解了MathType如何编辑偏导数操作步骤,下文就是关于在MathType编辑偏导数的操作教程,一起来学习吧!
MathType编辑偏导数的操作方法

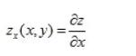
比如这样一个求偏导的公式:

具体操作如下:
1.在MathType编辑窗口中,输入z后使用下标与上标模板中的下标模板,输入下标x。

2.继续输入,可以使用括号与方括号中的括号模板也可以直接使用键盘输入括号,在使用分式与根式模板中的标准分式模板。

3.将光标放在分子上,选择MathType工具栏面板里面的偏导符号输入,或者使用杂项符号中的偏微分符号,输入后输入z,分母也采用相同的方法。

上文就讲解了MathType编辑偏导数的操作内容,希望有需要的朋友都来学习哦。
