关于MathType输入傅里叶变换符号的详细方法 关于马桶疏通妙招
相信很多朋友都遇到过以下问题,就是MathType输入傅里叶变换符号的详细方法。针对这个问题,今天昊普教程小编就搜集了网上的相关信息,给大家做个MathType输入傅里叶变换符号的详细方法的解答。希望看完这个教程之后能够解决大家MathType输入傅里叶变换符号的详细方法的相关问题。
最近不少伙伴咨询MathType如何输入傅里叶变换符号的操作,今天小编就带来了MathType输入傅里叶变换符号的详细方法,感兴趣的小伙伴一起来看看吧!
MathType输入傅里叶变换符号的详细方法

具体操作如下:
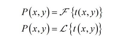
1.打开MathType,输入大写字母P,在括号模板中选择圆括号模板输入相应的变量。

2.在要输入傅里叶变换的地方输入大写字母F,选中“F”,选择“样式”——“其他”,将字体改为Euclid Math One,点击“确定”即可。

3.在括号模板中选择左右大括号,输入相应的变量。

提示:拉普拉斯变换符号输入方法相同。
还不了解MathType输入傅里叶变换符号的详细步骤的朋友们,不要错过小编带来的这篇文章哦。
