我来说说MathType编辑薛定谔波动方程的方法 我来说说欲是最高级的浪漫下一句
相信很多朋友都遇到过以下问题,就是MathType编辑薛定谔波动方程的方法。针对这个问题,今天昊普教程小编就搜集了网上的相关信息,给大家做个MathType编辑薛定谔波动方程的方法的解答。希望看完这个教程之后能够解决大家MathType编辑薛定谔波动方程的方法的相关问题。
今天小编就带大家来共同学习MathType编辑薛定谔波动方程的方法?希望可以帮助到有需要的小伙伴哦,下面就是详细完整的操作步骤。
MathType编辑薛定谔波动方程的方法
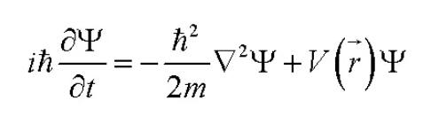
1.打开MathType编辑窗口后,利用键盘输入i,在“杂项符号”模板中选择“普朗克常量”输入。
2.利用分数与根式模板中的标准分式模板,点击输入偏导符号,分子的希腊字母使用“希腊字符”输入。
3.继续按顺序输入,普朗克常量按步骤1的方法输入后使用上标模板输入平方,使用“杂项符号”模板中的nabla输入,平方继续使用上标模板输入。
4.继续用键盘输入,相同的符号采用相同的输入方法,括号使用“分隔符”模板中的圆括号模板,用键盘输入r后选中,使用顶线与底线模板中的右箭头模板。
5.继续输入,关闭保存即可,薛定谔波动方程就输入完毕了。
上文就讲解了MathType编辑薛定谔波动方程的详细步骤,希望有需要的朋友都来学习哦。
