我来说说MathType输入约去分式的操作方法 我来说说的英文
相信很多朋友都遇到过以下问题,就是MathType输入约去分式的操作方法。针对这个问题,今天昊普教程小编就搜集了网上的相关信息,给大家做个MathType输入约去分式的操作方法的解答。希望看完这个教程之后能够解决大家MathType输入约去分式的操作方法的相关问题。
MathType如何输入约去分式呢,话说不少用户都在咨询这个问题呢?下面就来小编这里看下MathType输入约去分式的操作方法吧,需要的朋友可以参考下哦。
MathType输入约去分式的操作方法

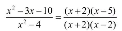
假设使用的等式如图所示:

要约去等式中相同因式,可以用MathType的“约去”划线模板来完成,具体操作如下:
1.打开MathType,在分式模板中选择标准分式输入分式。在“=”输入好后插入第二个分式模板。

2.在底线与顶线模板中选择划线模板。

3.在分子中输入第一个分式,输入完括号后按下Tab键退出划线模板,再继续输入第二个分式,输入后如图所示。

4.按相同方法输入分母,得到如下图所示约去分式格式。

以上这里为各位分享了MathType输入约去分式的操作流程。有需要的朋友赶快来看看本篇文章吧。
