经验分享MathType输入联立条件的过程
相信很多朋友都遇到过以下问题,就是MathType输入联立条件的过程。针对这个问题,今天昊普教程小编就搜集了网上的相关信息,给大家做个MathType输入联立条件的过程的解答。希望看完这个教程之后能够解决大家MathType输入联立条件的过程的相关问题。
联立条件如何输入?这个问题对于刚入手MathType的用户来说还比较棘手,下面小编为大家整理一下关于MathType输入联立条件的过程,大家可以参考学习。
MathType输入联立条件的过程
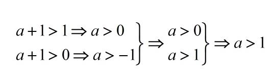
如要输入如图所示的联立条件推导过程:
1.在MathType编辑窗口中,在括号模板中选择右边大括号模板,光标定在虚线框中。
2.在矩阵模板中,选择2行1列模板,叠套在前边的虚线框中变成两行,即可输入公式。
3.将光标放在大括号右边,在箭头模板中选择向右双箭头符号;再次应用前述办法,做出第二个右括弧。
提示:如果公式不是很复杂,第二步使用矩阵模板也可以直接用回车键换行来实现。
以上就是MathType输入联立条件的过程啦,希望能够对大家有所帮助或启发哦。
