WPS这款应用有许多优点,不少网友都安装了。今天就讲解WPS表格求标准差的操作流程,一起去看看WPS表格求标准差的操作步骤吧,相信会有帮助哦。
WPS表格求标准差的操作流程

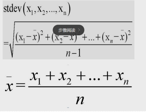
这里标准偏差的计算使用“n-1”方法。
注意到下图一中的根号内的分式分母为n-1

用stdev函数求单元格区域A1:A4这一列数据的标准方差
在单元格A7输入函数:=STDEV(A2:A4)
然后回车

这样用stdev函数求得的单元格区域A2:A4这一列数据的标准方差就放在了单元格A7了

各位小伙伴们,看完上面的精彩内容,都清楚WPS表格求标准差的操作流程了吧!