我来说说MathType输入量子算符的操作方法 我来说说码图片
相信很多朋友都遇到过以下问题,就是MathType输入量子算符的操作方法。针对这个问题,今天昊普教程小编就搜集了网上的相关信息,给大家做个MathType输入量子算符的操作方法的解答。希望看完这个教程之后能够解决大家MathType输入量子算符的操作方法的相关问题。
相信许多伙伴还不了解MathType如何输入量子算符的简单操作,不过没关系,下面就分享了MathType输入量子算符的操作方法,希望感兴趣的朋友都来共同学习哦。
MathType输入量子算符的操作方法

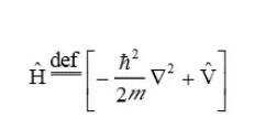
比如哈密顿算符:

具体操作如下:
输入H后,在MathType工具栏中选择修饰模板中的帽子模板。

在矩阵模板中选择2行1列模板。

在矩阵的上部选择底线与顶线模板中的双底线模板。

选择括号模板中的括号或方括号模板,依次输入,再选择分式模板中的标准分式尺寸输入分式,分子选择杂项符号模板中的普朗克常量,输入后选择下标和上标模板中的上标模板输入平方。

选择杂项符号中的nabla算符输入,再依次输入,V的输入可依照H的输入方法。

还不了解MathType输入量子算符的操作流程的朋友们,不要错过小编带来的这篇文章哦。
