相信很多朋友都遇到过以下问题,就是MathType编辑方式的操作方法。针对这个问题,今天昊普教程小编就搜集了网上的相关信息,给大家做个MathType编辑方式的操...
相信很多朋友都遇到过以下问题,就是word2010文档中编辑收件人列表的详细方法。针对这个问题,今天昊普教程小编就搜集了网上的相关信息,给大家做个word2010...
相信很多朋友都遇到过以下问题,就是MathType编辑器中划线模板的操作方法。针对这个问题,今天昊普教程小编就搜集了网上的相关信息,给大家做个MathType编辑...
相信很多朋友都遇到过以下问题,就是MathType编辑斜环积分符号的操作方法。针对这个问题,今天昊普教程小编就搜集了网上的相关信息,给大家做个MathType编辑...
相信很多朋友都遇到过以下问题,就是MathType编辑电路图中电源符号的操作方法。针对这个问题,今天昊普教程小编就搜集了网上的相关信息,给大家做个MathType...
相信很多朋友都遇到过以下问题,就是MathType编辑百分号的操作方法。针对这个问题,今天昊普教程小编就搜集了网上的相关信息,给大家做个MathType编辑百分号...
相信很多朋友都遇到过以下问题,就是Excel同时编辑多个表格的详细方法。针对这个问题,今天昊普教程小编就搜集了网上的相关信息,给大家做个Excel同时编辑多...
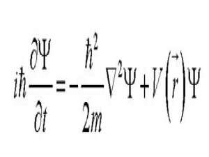
相信很多朋友都遇到过以下问题,就是MathType编辑薛定谔波动方程的方法。针对这个问题,今天昊普教程小编就搜集了网上的相关信息,给大家做个MathType编辑薛...
相信很多朋友都遇到过以下问题,就是MathType编辑低阶导数的详细方法。针对这个问题,今天昊普教程小编就搜集了网上的相关信息,给大家做个MathType编辑低阶...
相信很多朋友都遇到过以下问题,就是MathType编辑方程组的具体操作方法。针对这个问题,今天昊普教程小编就搜集了网上的相关信息,给大家做个MathType编辑方...